Cadernos de Matemática
ALGUMA MATEMÁTICA AQUI E ALI
Consultoria em Estatística e SPSS
spss4estatistica.wix.com/spss
widgetadtrack1245
Formulários
CASOS NOTÁVEIS DA MULTIPLICAÇÃO
Atenção:
pois:
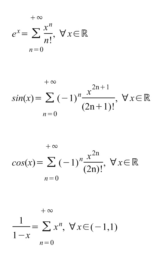
Desenvolvimento de algumas funções em séries de potências de x
Trigonometria Hiperbólica
http://cadernosdematematica.blogspot.com/
Página inicial
Subscrever:
Comentários (Atom)